cZyNo Opublikowano 4 Stycznia 2020 Opublikowano 4 Stycznia 2020 Koniec roku to zawsze czas jakiś tam podsumowań i nowych planów czy wyzwań. Tak więc i coś tam ja podsumowałem... Niestety pod moją nieobecność na forum ?, relacje z jesiennych zawodów F3F były ubogie bądź ich nie było lub wręcz nie można było o nich pisać. No wystarczy chwile urlopu sobie zrobić, a tu taka sieczka ? Tak wiec postaram się w skrócie i bardzo subiektywnie nadrobić te zaległości, szczególnie że tegoroczna druga połowa sezonu polskiego F3F była znacząco odmienna od tych co pamiętam. A co było w niej takiego ciekawego - ano np. to że uzyskanie dobrych wyników wiązało się z nominacją do kadry na następne MŚ we Francji. Choć nie tylko. Tak więc zapraszam do przydługiej lektury. Część z lataczy ostrzyła sobie zęby na wyjazd na MŚ i odgrażając się kupowała nowe modele, inni zastanawiali się jak to zrobić żeby to zrobić, części było to obojętne czy pojadą czy nie, a część wiedziała ze nawet jak się załapie to i tak nie pojedzie z tych czy innych względów - normalka jak wszędzie. Mi to było obojętne, bo z tych czy innych względów wokół sportowych nie planowałem takowego wyjazdu - więc spokojnie mogłem patrzeć (z przerażeniem oczywiście) na rozwój wydarzeń Tak więc pierwszymi zawodami była Dania gdzie jako co roku zjawia się spora grupa Polskich lataczy - bo jest to doskonałe miejsce do rywalizacji, treningów, ustawiania modeli jak i siebie ? W tym roku, według mnie dla większości polskich zboczonych lataczy, wyjazd był bardzo owocny. A czemuż to? Bo...- po pierwsze - kto sie zdobył na odwagę i przyjechał wcześniej, ten mógł polatać w piekielnie silnych warunkach wiatrowych. Była to jazda na maksa, a dla wielu doskonałe pole treningowe i poznawcze. Latanie o dziwo zakończyło się w czwartkowy wieczór bez większych strat w modelach. Co którzy byli wtedy w Danii, a bali się latać mają czego żałować.- po drugie - dwa pierwsze dni były bardzo irytujące. Oczywiście ze względu na bardzo zmienne i nierówne warunki. Ala jak to zwykle bywa, warto było obserwować tych innych lepszych jak sobie razdzą z przeciwnościami losu. W drugi dzień byliśmy na zboczu na którym jeszcze nie lataliśmy i rano warunki wyglądały genialnie ... no ale jak się zawody zaczęły to była kiszka. Zbocze super tylko że trzeba było jechać ponad 100km w jedną stronę)- po trzecie - w czasie pobytu w polskim domku, wszyscy tam obecni polscy latacze uczestniczyli w stosownych terapiach mobilizująco-odprężających...i one według mnie przyniosły genialne rezultaty dla wszystkich obecnych kolegów! A pokazał to dzień trzeci zawodów i to co było później.- bo po czwarte - dzień trzeci przywitał nas silnym i w miarę stabilnym wiatrem na zboczu które znamy (lub większa część z nas je znała). Pierwsza runda tego dnia (7ma zawodów) mnie i kolegów zaskoczyła trochę. Ja leciałem jako drugi. Po wejściu/wdrapaniu się na zboczu sprawdziłem wiatr, gęba mi sie uśmiechnęła, zabalastowałem mocno model i czekałem na start. Jednak tuż przed rozpoczęciem zawodów wiatr przysiadł... Idąc z modelem na start wiedziałem że będzie kicha, ale było za mało czasu aby zmienić balast. I poleciałem ciężką krową,...tak powolutku Chłopakom tez ta runda nie spasiła, bo najlepsi z naszych (Antek i Rysiek) byli na 19 i 20tym miejscu. Ja po nieudanym locie poszedłem 2 kilometry w bok, i zabrałem sie za ustawianie palców i modelu do tych warunków. I to była dobra decyzja. Potem dołączył do mnie PAweł, z którym trochę przedyskutowaliśmy jego ustawienia modelu A potem... chłopaki sie ocknęli, przypomnieli sobie terapię i zabrali się do roboty. I nagle Polacy stali się widoczni. W rundzie 8mej w pierwszej dziesiątce był Marcin (4ty) i Andrzej, w 9tej ja i Antek no i w 10tej ja i Leszek! Fajnie było patrzeć jak chłopaki się mobilizowali i nawzajem dopingowali. Wyniki globalne są tu: http://f3xvault.com/?action=event&function=event_view&event_id=1367 A filmik obrazujący to co było przed i w trakcie zawodów jest tu: - ale po piąte - najfajniejsze było po zawodach. Zostali przewie wszyscy Polacy oprócz pana Chipczyńskiego (bo nie lata po zawodach) i mnie (bo jechałem do domu). Jednak ja zostałem jeszcze trochę popatrzeć na nich. I było cudownie patrzeć jak z zakrętu na zakręt każdy z nich coraz lepiej leciał, jak sobie pomagali w regulacji modeli, czy jak się dopingowali - czy to kopem w dupę czy dobrym słowem ? I te zawody oraz to co wydarzyło sie przed i po nich, pokazały że wyjazdy zagraniczne mają sens - bo takie miejsca to o niebo lepsze możliwości treningi i rozwoju dla zawodników, a zarazem jest tam możliwość porównania sie z najlepszymi lataczami w europie - a to ma się nijak do rywalizacji na krajowych górkach w zabawnych warunkach. Bo to właśnie są te mistyczne miejsca z mistyczną atmosferą, których nie znajdziemy w naszym kraju!!! Dla większości to były ostatnie zawody zagraniczne sezonu, ja miałem jeszcze pojechać na inne, ale praca mi nie pozwoliła. Tak więc zostały nam zawody krajowe, gdzie duch dobrego uczestnictwa w zawodach zagranicznych wisiał i znacząco wpływał na wyniki rywalizacji Wyniki punktowe uzyskane w Danii przez Polaków były dość ciekawe i znamienne..jak sie później okazało A drugimi zawodami były Mistrzostwa Polski w okolicach Grudziądza. Czyli w miejscu gdzie są najlepsze górki w Polsce i gdzie najlepiej wieje - co do górek to sie zgadzam, ale wiatr wszędzie bywa kapryśny Dla mnie były to ciężkie zawody, na które nawet nie wiedział czy przyjadę, a męczący duch pracy i nieobecności wisiał nade mną przez całe zawody. Dobrze że były tylko dwudniowe, bo w trybie pilnym mogłem w sobotnią noc wrócić do Szczecina, aby z sukcesem coś tam zakończyć. I okazało się że upiekły się mi trzy pieczenie na jednym ogniu Zawody odbywały się pięć dni po zakończeniu zawodów w Danii. I jak to często w Polsce bywa główną rolę odgrywała zmienność warunków. Jednak kto umiał, to sobie poradził w tych warunkach. Kto nie umiał to narzekał na warunki. I więcej się lata rund w miejscach gdzie rozrabia termika lub zmienność wiatru, tym jej wpływ na wynik bywa mniejszy i końcowe wyniki są bardziej miarodajne. 9-10 rund już całkiem rozsądnie uśrednia uzyskane wyniki. Na zwodach pojawiło sie 26 zawodników, w tym kilku po raz pierwszy. I to z wylęgarni mistrzów z okolic Stalowej Woli. W pierwszy dzień laliśmy w Starogrodzie gdzie udało nam sie odlatać 3 rundy. Potem wiatr zaczął się lekko odwracać, a zarazem pojawili się strażnicy przyrody co spowodowało odwrót na z góry upatrzone pozycje, czyli do Parsk. Jednak tam tego dnia wiart nie umożliwił latania. Ale już pierwszy dzień pokazał że będzie wesoło W drugi dzień lataliśmy w Parskach. Tego dnia ze względu na zmienność warunków, zawody przyprawiły mnie o ból głowy, ale jakoś dotrwałem do ich końca Zawody zakończyły się wręcz genialnie! (jak dla mnie ?). Trzeciego dnia lotnego nie było. Miało pięknie wiać na Starogród, ale ze względu na wcześniejsze problemy, organizator nie zaryzykował wyprawy w tamto miejsce. Zawody wygrał Wojtek, prezentując spokój, opanowanie i doskonałe wyczucie termiki. I to był jego drugi tegoroczny tytuł Mistrza Polski po wygranej w F3B. Został także wicemistrzem w F3J! Po prostu pilot natchniony!Całość wyników znajdziecie tutaj: http://f3xvault.com/?action=event&function=event_view&event_id=1416 a ruchome obrazki poniżej: Co jest zabawnego w tych wynikach? Ano to że pierwsze 6 miejsc zajęli latacze z południa Polski, gdzie są małe kiepskie górki i kiepsko wieje - albo nie wieje (tak sie pośmiewają z nas latacze z innych stron/miast w kraju). Ale wszyscy Ci koledzy regularnie uczestnicy w zawodach zagranicznych. Marcin, Andrzej i Paweł - odblokowali się w Danii, Jurek K - wreszcie doszedł do porozumienia ze sobą i z modelem, po nieudanych wojażach zagranicznych - po prostu wyciągnął właściwe wnioski. No i co jeszcze ciekawego okazało sie po tych MP?? Ano to że co najmniej 6 lataczy będzie sie liczyło o walce o reprezentację (do kadry jeszcze większe grono kandydatów sie pojawiło)! Jeśli pokażą że potrafią walczyć w zawodach krajowych. Każdy zainteresowany wiedział ile musi zdobyć punktów i w jakich warunkach. Bardzo mnie to zaczęło intrygować jak się cała ta zabawa dalej potoczy. Kto wytrzyma napięcie i okaże się wartościowym walczącym zawodnikiem, a kto tylko ciułaczem punktów liczącym jedynie na potknięcia innych. Kolejne zawody to był Puchar Śląska - zboczowa modelarska masakra! Zawody organizował Marcin. Miejsce fajne - hałda w Łaziskach, organizacja też fajna, nie licząc zgody na lądowania nad głowami zawodników. Ale jak się okazało kominy elektrowni przed zboczem to tragedia. Elektrownia zaburza naturalny przepływ powietrza, niespodziewanie blokuje wiatr, rozbija lub generuje dziwaczne termiki. W lataniu tam nie ma wiele naturalnych warunków - jest sieczka i masakra ? Po zakończeniu tych zawodów, już wiem że nie lubię tęgo zbocza!!! Jednak wiatr wiał, modele latały i rozegraliśmy 16 rund! - które oczywiście znacząco uśredniły wpływ nieszczęsnego powietrza na wyniki. Liczba rund to był rekord tego krajowego sezonu (i kilku poprzednich). Zawody udało mi się wygrać, bo w 2 ostatnich kolejkach Bozia sobie o mnie przypomniała ? i w końcu dwa razy zesłała mi fajny warunek. Inaczej był bym gdzieś daleko. Pozostali latacze uzyskali bardzo zbliżone wyniki co jeszcze bardziej podgrzało atmosferę. Wojtek załomotał do drzwi reprezentacji, Marcin zaczął coś majstrować przy zamku, a Andrzej i Jurek K tuptali niecierpliwie. Innie pewnie gryźli nerwowo pazury...chyba że żyli w niewiedzy. Wyniki dla zainteresowanych: http://f3xvault.com/?action=event&function=event_view&event_id=1420 focie: https://photos.google.com/share/AF1QipMjOUHAhI8N7wDBW2RFF5QD2HY_EwRKwEmwsuurvpruoDooxWx1etMQCrHwhhTI0w?key=NklWUXhpcnc0ajIzdVN3UnllX0pVcGdIcThta3B3 Po tych zawodach stało się już jasne, kto ile punktów musi mieć aby został wyeksportowany na pierońsko szybkie zbocza Mistrzostw we Francji. No i spadły jak grom z jasnego nieba kolejne zawody - Puchar Grochota O tych zawodach nikt praktycznie nic nie napisał. Chyba domyślam się czemu... Za względu na kierunek wiatru Darek podjął decyzje o organizacji zawodów na ruskim klifiku. Decyzja dobra bo nie ma innego równie dobrego zbocza na ten kierunek w okolicy. W sumie to na południu polski nie ma lepszego zbocza. Oczywiście były głosy że to głupota bo to górka Jurka, co właściwie nie jest prawdą. Ja na klifiku w 2019 roku może byłem tylko kilka razy - bo wiatr SW nie gościł u nas za często. Każda wizyta była dość krótka - tak około godziny - modele latały nie było co kombinować - nudy. To i wracałem do domu. Więcej w sezonie na klifiku latali Andrzej, Jurek K, i kilku innych lataczy którzy z obrzydzeniem kilka razy tam trenowali. Również dzień przed zawodami. Górka jest trudna i bardzo turbulentna na krawędzi, ale daje bardzo dużo radości. Kto umie tam latać, ten poradzi sobie wszędzie. Same zawody doskonale rozpoczął Paweł i całkiem fajnie Marcin. Na początku wszyscy kombinowali i szukali odpowiedniego balastu, trajektorii i ustawień. Ja znalazłem w 5 rundzie... Bardzo ryzykowną trajektorię lotu w której każdy zakręt groził korkiem, a po locie miałem pełne gacie ze strachu o model. Ale...było to bardzo skuteczne. Jako że nikt nie chciał mnie naśladować, to rozbiłem te zawody niemiłosiernie, skutecznie latając raz za razem w ten sam sposób. Oczywiście zwaliłem w końcu ciężki model w kora, ale oprócz zera które zarobiłem wiele sie nie stało. W czasie zawodów warunki były w miarę wyrównane, oczywiście termika trochę rozrabiała, ale była bardziej przewidywalna niż na poprzednich zawodach. Tym razem przez 2 dni rozegraliśmy 17 kolejek!! I do tego były to bardzo szybkie zawody jak na polskie warunki. Było kilka lotów poniżej 40sek no i Andrzej ustanowił rekord zbocza, wynikiem 36.23sek ?? To już jego kolejny rekord na kolejnym ruskim zboczu! A koledzy zobaczyli że ze mną nie można się układać ? Bo wygrywa sport i rywalizacja, a nie punktowe kombinacje! Jeszcze pozostały dwa zawody i każdy może dotrenować się zmobilizować do walki! Tak im mówiłem... to Marcin chodził do pracy od ranba do wieczora, a Wojtek olał latanie i łapał sandacze... Całkowicie bez sensu. Tylko Jerzy K zawzięcie trenował w każdej chwili wolnej Wyniki tego szaleństwa są tutaj: http://f3xvault.com/?action=event&function=event_view&event_id=1658 ☺️ i jakiś filmik: Fajnie, że to były kolejne zawody na kiepskim w wiatr i zbocza południu na których był Łukasz "Arabat" - mam nadzieję, że trochę otworzył oczy na inną formę zabawy, ustawień modeli i takie tam. I może w końcu wybierze się z nami gdzieś poza granicę aby poznawać inny modelarski świat Wygrana zapewniła mi praktycznie 4 raz zdobycie Pucharu Polski w ciągu 7miu lat startów w F3F ?. Kilku lataczy wciąż walczyło realnie o reprezentację. Kolejna zawody były zawodami organizowanymi na północy Nie planowałem na nie jechać od początku sezonu, a tym bardziej pod jego koniec, bo już powoli miałem dość tego sezonu! Spędziłem w tym roku ponad 40 dni na zawodach i niezliczona liczba treningów już mnie dołowała. W sumie dobrze że nie pojechałem Ze względu na moje zdrowie psychiczne O zawodach jedynie mogę powiedzieć, że wyniki są tu: http://f3xvault.com/?action=event&function=event_view&event_id=1682 Doskonałe miejsca zajęli na nich Marcin (jego pierwsza wygrana ever!! ?), Wojtek i Jurek. Wojtek pojawił sie na 2gim miejscu w rankingu do reprezentacji. O wejście walczył coraz doskonalej latający Marcin, Andrzej, Jurek i słabiutki w całej drugiej części sezonu pan Chipczyński. Ostatnimi zawodami były zawody o Puchar Hałdy Po tych zawodach nienawidzę tego miejsca ??? Warunki były tradycyjnie irytujące ? Liczyliśmy na więcej kolejek ale skończyło się "tylko na" 13tu! Zawody wygrał niezasłużenie Jurek K ?, który wszedł w jakieś konszachty z pogodą. Jurek K z Marcinem wspaniale walczyli ze sobą i żaden się nie poddawał - co oczywiście ze strony Marcina było bardzo niegościnne. Walka była o pudło w pucharze Polski i reprezentacji Polski. Mimo że organizator czyli Marcin zajął drugie miejsce, to jednak to on zgarnął całą pule zaszczytów! A cała to jego szalone tegoroczne latanie zaczęło się w Dani... wyniki zawodów: http://f3xvault.com/?action=event&function=event_view&event_id=1704 zdjęcia: https://elektromodely.rajce.idnes.cz/Puchar_Haldy_2019/ Nieoficjalne wyniki PP (oficjalne publikuje tylko koordynator klasy i nikt inny) są tu: http://f3xvault.com/?action=series&function=series_view&series_id=177 A jako załącznik jest ranking kadry i reprezentacji F3F! To była niesamowita końcówka sezonu! Wojtek i Marcin praktycznie z dna na jakim byli po początku sezonu rozbili bank swoim zapałem i umiejętnościami! Rewel-ka! Jak to Wojtek zawsze cytuje brednie "klasyka" : 'modelarze ze środka stawki ze średnimi umiejętnościami...' I niestety chyba będę musiał zmienić plany i jeśli zdrowie i kasa dopisze, to będzie trzeba się wybrać z tymi twardzielami, co potrafią realizować postawione przed nimi zadania, na Mistrzostwa do Francji. Choć z obrzydzeniem po podróż to daleka ?? i na zakończenie To była epicka połowa sezonu! Miło było patrzeć na mobilizację wszystkich kolegów i chęć oraz umiejętność walki do końca (ich dużej części). Mam nadzieje że za dwa lata, rywalizacja będzie równie pasjonująca, choć wciąż nie wiadomo gdzie będą MŚ w 2022 roku. Widać było że utworzyło się kilka zespołów których członkowie pięknie wspomagali się wzajemnie w czasie wszystkich zawodów, ale i nie odmawiali pomocy innym. To fajnie rokuje na przyszłość ? P.S. I jeszcze taka ciekawostka ... jedna z osób niezadowolonych z opublikowanego rankingu, po raz kolejny napisała do wszystkich świętych w Komisji Modelarskiej AP, że to znów oszustwo bo wyniki są źle policzone. Najzabawniejsze było to że ta osoba nie sprawdziła ogólnodostępnych wyników oficjalnych z zawodów międzynarodowych, tylko w swoich wyliczeniach bazowała na nieoficjalnych i do tego błędnych wynikach ze strony organizatora... Jak to mówią - liczyć każdy umi Ot jak widać walka była do końca - nawet pozasportowa Bo był to ważny i niesamowicie ciekawy sezon mimo tego co niektórzy mogą mówić i pisać! KN_Ranking_2019_.pdf 1 2
Shock Opublikowano 4 Stycznia 2020 Opublikowano 4 Stycznia 2020 52 minuty temu, cZyNo napisał: No wystarczy chwile urlopu sobie zrobić, a tu taka sieczka ? Heh, chyba miało być spokój ... Fajne podsumowanie, wiele można z niego wywnioskować, może być bodźcem do zainteresowania tą kategorią . Ciekawe czy nadchodzący, nowy sezon będzie równie emocjonujący ... 1
Marcin.O Opublikowano 5 Stycznia 2020 Opublikowano 5 Stycznia 2020 16 godzin temu, cZyNo napisał: . Ostatnimi zawodami były zawody o Puchar Hałdy Po tych zawodach nienawidzę tego miejsca ??? Ale piwo i jedzenie w Prosiaku mam nadzieje że lubisz
cZyNo Opublikowano 5 Stycznia 2020 Autor Opublikowano 5 Stycznia 2020 Licze że następnym razem wykombinujesz wiatr z południa
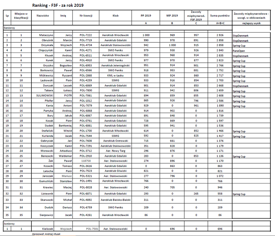
cZyNo Opublikowano 11 Stycznia 2020 Autor Opublikowano 11 Stycznia 2020 Jako że ranking kadry nie otwiera się niezarejestrowanym użytkownikom, to wkleiłem go dodatkowo jako zdjęcie
cZyNo Opublikowano 12 Stycznia 2020 Autor Opublikowano 12 Stycznia 2020 Dziś bardzo lotny dzień Marcin i Wojtek zawzięcie trenują. Co mnie bardzo cieszy.
Marcin.O Opublikowano 12 Stycznia 2020 Opublikowano 12 Stycznia 2020 Oj bardzo loty dzień, od 11 do 16 ? polataliśmy z Piotrkiem i przy okazji przetestowaliśmy kamery które Jurek poskładał ?( Dzięki Jurek ). Teraz taki trening to ja rozumiem. Wiatr od 7 do 14 m/s, czasy jak to na hałdzie od 48 do 80 s.
cZyNo Opublikowano 12 Stycznia 2020 Autor Opublikowano 12 Stycznia 2020 Pięknie pięknie...ale jak ja nie lubię tego miejsca
cZyNo Opublikowano 12 Stycznia 2020 Autor Opublikowano 12 Stycznia 2020 No tak. Kominy fuj. Nie dość że mnie wkurzają modelarsko, to jeszcze raz mnie zatruły.
Marcin.O Opublikowano 12 Stycznia 2020 Opublikowano 12 Stycznia 2020 O dziwo dziś nie śmierdziało z elektrowni, tak jak zawsze capi.
Marcin.O Opublikowano 12 Stycznia 2020 Opublikowano 12 Stycznia 2020 Myśle że tam mają jeszcze duże zapasy ?
cZyNo Opublikowano 13 Stycznia 2020 Autor Opublikowano 13 Stycznia 2020 No ale wracając trochę do tematu wyjazdu na MŚ do Francji (dla tych co sie szczęśliwie lub nieszczęśliwie załapali)... jeszcze zostało masę czasu do MŚ, a już słychać głosy zasiadających w lożach totalnych krytyków tego co się wydarz,y a może nie wydarzy Z drugiej strony co tu krytykować jak się gdzieś nie było i nie latało. I od razu sobie odpowiadam na to przewrotne stwierdzenie - przecież krytyka teoretyczna jest najlepsza i najłatwiejsza do zrealizowania!!! ? Nic się nie wie i nie rozumie, ale napisać można ? No a wracając do clue programu... Ostatnie MŚ odbywały się w miejscach które są stosunkowo niedaleko od naszego kraku (Rugia, Dania, Słowacja), dość licznie tam jeździliśmy i jeździmy. Czyli zbocza są nam znane i w miarę opykane (balastowanie, wiarty itp). A zarazem część z nich jest momentami zbliżona do polskich górek. Tak więc jest gdzie i jak sie przygotować.No i uzyskiwane czasy w standardowych warunkach są dostępne dla nas - co to znaczy napiszę później. Czyli jak się tam jechało to zawsze była szansa na zajęcie dobrego miejsca w pierwszej 10 lub trochę słabszego w drugiej dziesiątce. A właściwie uwzględniając nasze ambicje zawodnicze takie miejsca powinniśmy zajmować. Tak więc to była bułka z masłem.... no może trochę czerstwa i z małą ilością masła, ale zawsze... Francja i jej zbocza to całkowicie inna bajka. W najbliższej okolicy +-1300km od Wrocławia nie ma możliwości potrenowania w warunkach choć minimalnie zbliżonych do francuskich. Czyli wysokie skaliste i nieregularne zbocza, wysokie temperatury powietrza i te prędkości! Ja jeździłem na zawody do Francji przez 4 lata i dopiero w tym roku jako tako zrozumiałem specyfikę latania w tamtych górach a właściwie w jednym miejscu. Mimo pozorów różnica jest diametralna, i co do ustawień modeli, trajektorii lotu jak i balastowania. Jednak to jeszcze jakoś można ogarnąć. Ale większym problemem są uzyskiwane czasy ! Których możliwość uzyskania głównie wynika z ukształtowania terenu/zbocza oraz bardzo ciepłego laminarnego wiatru (rzeczy bezcenne! reglamentowane i niedostępne dla standardowych polaczków jak my). A czemuż to... W Polsce i okolicach latamy standardowo z czasami z zakresu 40+ do 100sek. Jak ma się farta to sie śmignie 36sek. A we Francji lata się poniżej 30sekund! I tu widzę główny problem dla nas (jako Polaków). Z mojego doświadczenia wynika, że w miarę łatwo można w dobrych warunkach uzyskać czas rzędu 36sekund gdy na co-dzień jest się w stanie latać 44sek. Jednak w porównaniu do 28 sekund to jest raptem 700-800punktów ... bida! Ale o dziwo bardzo ciężko jest zejść już z tych 36sek raptem do 34! Jeśli ktoś mi nie wierzy, to powiem, że na bieżącą chwilę jedynie 2 polskich lataczy ma życiówki lepsze niż 35sekund! Kolejny krok milowy to jest przestawienie siebie, głowy i palców, aby uzyskać czasy na poziomie 30-32 sekund. To po prostu jest inna filozofia sterowanie modelem i jego ustawień. Jak na co dzień się tak nie lata bo nie ma gdzie, to jak ustawić modele?!?! I wciąż nie mogę sobie wyobrazić jak to jest polecieć szybciej ?? To już są średnie prędkości modeli na poziomie 150-160km/h i więcej! Dodatkowo w tej Francji są wszędzie skały i każdy kor na dużym gazie kończy się demolką - a to siedzi w głowie (wiem z autopsji - strata modeli przed lub w trakcie MŚ przeszkadza w lataniu w ich trakcie - tak miałem w Rugii i w Jesennikach). I tak dumam co z tym zrobić ? Może jakiś wujek dobra rada mi pomoże? ? a oto francuski full-speed korek (choć prosił się o wcześniejszy): i kolejny - jeszcze bardziej intrygujący: 1
GWFC Opublikowano 13 Stycznia 2020 Opublikowano 13 Stycznia 2020 22 godziny temu, cZyNo napisał: Pięknie pięknie...ale jak ja nie lubię tego miejsca Nie wygrałeś jeszcze na halde? ???
cZyNo Opublikowano 13 Stycznia 2020 Autor Opublikowano 13 Stycznia 2020 Wygrałem - ale i tak jej nie lubię ? Pozdro Laco!
cZyNo Opublikowano 14 Stycznia 2020 Autor Opublikowano 14 Stycznia 2020 Jak sie dowiedziałem, na MŚ ma być ten sam zegar co na MŚ na Rugii. Mam nadzieje że chłopaki trochę go podrasowali Bo miał lekki delayyyyyyyyyyyyyyyyyyyyyyyyyyy
Gość Opublikowano 14 Stycznia 2020 Opublikowano 14 Stycznia 2020 Co do krytyki waszych strasznych wyników MŚ to z tej listy kadry którą wstawiłeś wynika jednoznacznie że... na tę chwilę nikogo lepszego w kraju od was do latania f3f na MŚ nie ma :D
cZyNo Opublikowano 14 Stycznia 2020 Autor Opublikowano 14 Stycznia 2020 a wiesz..z tym lataniem na MŚ to nie jest tak różowo. Nigdy nie wiadomo jak dany delikwent sie spisze. To całkowicie odmienny rodzaj zawodów. A jakiekolwiek zawody krajowe mają się do MŚ jak żłobek do szkoły wyższej. Czami ktoś kto punktowo słabiej lata, znaczniej lepiej spisze sie na MŚ czy ME. Ale to wiadomo dopiero po - niestety. Umiejętności na pewno są ważne, ale musi to być jeszcze fighter a nie ciułacz punktów, latający ostro i szybko i nie oszczędzający swoich wychuchanych modeli (bo przecież na MŚ tylko wynik jest najważniejszy - i nie punktowy tylko zajęte miejsce), ale również musi być silny mentalnie. A może ta silna mentalność jednak jest najważniejsza? Tak po zastanowieniu chyba tak mi coś sie wydaje Tak jak pacze na tych tegorocznych ?, to pewnie jak zaczną sie problemy to Wojtek zamknie sie w sobie, a Marcin zacznie biegać i gadać jak oparzony, no ale suma summarum w końcu coś wykombinują ?- jednak to lepiej niż pęknąć, rozczulać się nad sobą lub poddać się ? Ideałem jest Antek - jak poszło coś nie tak (nawet troszeczkę nie tak), to to go tylko to mobilizowało do ostrzejszej walki. Stał, patrzał i analizował. Junior a twardy, odporny i z umiejętnościami. Zawsze przed nim chyliłem czoła i mu zazdościłem i zazdroszcze - spokoju, opanowania i umiejętności.. 2 1
Rekomendowane odpowiedzi