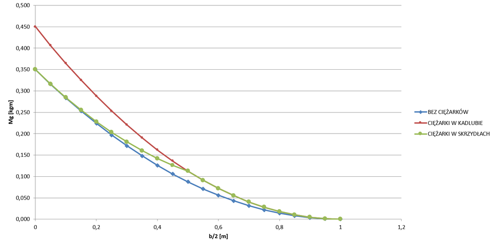
AKocjan Opublikowano 21 Października 2020 Autor Opublikowano 21 Października 2020 @piotr28 Ostatnio jak wiesz, latałem z dodatkowymi świecami Funcubem. Oto przeliczenia momentów gnących w locie ustalonym: Założenia: masa modelu: 1150g - bez ciężarków; Ciężarki na końcówkach 260 [g] każdy; Oto wykresy momentów gnących działających na skrzydła , sam możesz sobie to przeliczyć. Momenty zostały zredukowane. Przeliczę jeszcze dla przykładu Foxa, gdzie ciężarek był mniej więcej w środku skrzydła, więc proszę o cierpliwość , obliczenia przekażę
stema Opublikowano 21 Października 2020 Opublikowano 21 Października 2020 W dniu 6.01.2020 o 12:02, AKocjan napisał: Witam Oryginalnie szybowiec był za lekki do wykonywania akrobacji, dodałem więc ciężarki na skrzydłach, efekty widoczne na filmie: ... Piszesz, że dodałeś ciężarki do wykonywania akrobacji i przeciwdziałają one sile nośnej zmniejszają momenty gnące? Nie przeszkadza Ci, że brutalnie przeciwdziałają obrotom przy np. beczce, za to zupełnie brutalnie reagują/pomagają przy wychodzeniu z nurkowania? Do akrobacji Powiadasz...? 1
grzegor Opublikowano 21 Października 2020 Opublikowano 21 Października 2020 Arkadiuszu Ty może nie przeliczaj tylko zapytaj ile wody bierze do akrobacji w skrzydła FOX ?. Bo te Twoje za przeproszeniem ciężarki to jak ta woda brana w skrzydła. Robisz z siebie ... 1 1
piotr28 Opublikowano 21 Października 2020 Opublikowano 21 Października 2020 No właśnie...to przeczy akrobacji.No i jak to się ma do prostego doświadczenia o którym pisał Piotr?Bo dla mnie na zdrowy rozum to dociążone końcówki skrzydła zbyt mocno to sie równa poskładanym skrzydłom w szybkich beczkach albo przy ciasnej pętli lub ostremu wyprowadzeniu z nurkowania.
Ares Opublikowano 21 Października 2020 Opublikowano 21 Października 2020 Każdy model akrobacyjny powiniem mieć skupione masy jak najbliżej ś.ć. Tak więc pisząc najprościej : lekkie końcówki skrzydeł i lekkie usterzenie a to co ciężkie: w kadłubie w okolicach ś.ć. Tak więc uważam , pomysł z ciężarkami za pozbawiony sensu. 3
AKocjan Opublikowano 21 Października 2020 Autor Opublikowano 21 Października 2020 24 minuty temu, stema napisał: Piszesz, że dodałeś ciężarki do wykonywania akrobacji i przeciwdziałają one sile nośnej zmniejszają momenty gnące? Nie przeszkadza Ci, że brutalnie przeciwdziałają obrotom przy np. beczce, za to zupełnie brutalnie reagują/pomagają przy wychodzeniu z nurkowania? Do akrobacji Powiadasz...? @stema - żywy przykład. Funcub z ciężarkami (240 g na skrzydło) na końcówkach. Brak modyfikacji konstrukcji, a skrzydła się nie wyginają nawet podczas ciasnych manewrów. Za chwilę przekaże wyliczenia.
piotr28 Opublikowano 21 Października 2020 Opublikowano 21 Października 2020 21 minut temu, grzegor napisał: Arkadiuszu Ty może nie przeliczaj tylko zapytaj ile wody bierze do akrobacji w skrzydła FOX ?. Bo te Twoje za przeproszeniem ciężarki to jak ta woda brana w skrzydła. Robisz z siebie ... Bardzo dobry przykład Grzegorza... A tu inny : Zbiorniki balastowe w przykadłubowej części Jantara.....
grzegor Opublikowano 21 Października 2020 Opublikowano 21 Października 2020 W dniu 21.10.2020 o 22:13, AKocjan napisał: @stema - żywy przykład. Funcub z ciężarkami (240 g na skrzydło) na końcówkach. Brak modyfikacji konstrukcji, a skrzydła się nie wyginają nawet podczas ciasnych manewrów. Za chwilę przekaże wyliczenia. Czy ty bipp...? bipp Balasty bierze Jantar do przelotów a Ty na akrobację FOX em bierzesz ciężarki imitujące wodę w skrzydłach? bipp...? 1
AKocjan Opublikowano 21 Października 2020 Autor Opublikowano 21 Października 2020 17 minut temu, grzegor napisał: Arkadiuszu Ty może nie przeliczaj tylko zapytaj ile wody bierze do akrobacji w skrzydła FOX ?. Bo te Twoje za przeproszeniem ciężarki to jak ta woda brana w skrzydła. Robisz z siebie ... Nie bierze, bo nie ma zbiorników :P. Nie są mu potrzebne. Szybowiec jest tak policzony, żeby przetrwać wymagane obciążenia .... ale zauważ. Dla jednej osoby dozwolone są przeciążenia na poziomie :+9/-6 g dla dwóch osób już tylko: +7/-5 g Właśnie ze względu na wzrost masy w kadłubie Zbiorniki w szybowcach nie służą do akrobacji, tylko do zwiększenia prędkości bez pogorszenia znaczniej doskonałości. Na przelotach między kominami np. Są one montowane głównie przy kadłubie w skrzydłach. 6 minut temu, grzegor napisał: Czy ty kur jesteś nietegotamtego? Jeb balasty bierze Jantar do przelotów a Ty na akrobację FOX em bierzesz ciężarki imitujące wodę w skrzydłach? Całkiem Cię poje? woda w skrzydłach nie jest na końcówkach, tylko przy kadłubie / albo w kadłubie w zależności od szybowca. Wtedy to nie działa. 1
Gość Opublikowano 21 Października 2020 Opublikowano 21 Października 2020 Kiedyś miałem jeszcze nadzieję, że się da. Ale w trakcie "wymiany zdań" nt. wykonania jednej z figur akrobacji stwierdziłem, że gość chce sprowadzić mnie do swojego poziomu i pokonać doświadczeniem. Nie idźcie tą drogą...
piotr28 Opublikowano 21 Października 2020 Opublikowano 21 Października 2020 Napiszę to już drugi raz.... Znów zmierzamy do zamknięcia kolejnego tematu....Skończy się jak zawsze Z tym człowiekiem nie da się merytorycznie dyskutować.
cZyNo Opublikowano 21 Października 2020 Opublikowano 21 Października 2020 Arek - nie pieprz, bo głowa puchnie. Zrób jakiś normalny program do akrobacji tym foxikiem z ciężarkami i bez - jak to opisałeś na początku tego wątku. Byle ten program byłby dynamiczny, a nie chimeryczny. I nie same pętelki. Nagraj filmiki - chętnie popatrzę na coś praktycznego, a nie na teoretyczne zrobienie z Foxa Funcluba lub odwrotnie. A tym bardziej nie mieszaj normalnych szybowców do dywagacji nt piankowego modelu - bo to żałosne troche. 2
AKocjan Opublikowano 21 Października 2020 Autor Opublikowano 21 Października 2020 Ale proszę dać mi szanse coś napisać, niestety to pianka. Wiadomo, że z punktu widzenia osiągów w akrobacji lepiej mieć skupioną masę w kadłubie. Bo mniejsze momenty bezwładności .... ale u mnie model niestety w takiej sytuacji połamie sobie skrzydła. To nie laminat tylko pianeczka, muszę ładować masę w skrzydła, pogarszając oczywiście osiągi jeśli chodzi o obrót wokół własnej osi podłużnej - zdaję sobie z tego sprawę. Coś za coś. Robię to wyłącznie ze względu na wytrzymałość modelu. Z laminatu model wytrzyma obciążenia, będzie mógł latać - sztywna wytrzymała konstrukcja. Więc po co ładować odciążenia. Może się czegoś takiego kiedyś dorobię. Obecnie mam co mam
grzegor Opublikowano 21 Października 2020 Opublikowano 21 Października 2020 Lataj - bo latasz super, masz werwę i refleks. Nie wgłębiaj się w inne sprawy na razie... 1 1
AKocjan Opublikowano 21 Października 2020 Autor Opublikowano 21 Października 2020 Momenty_gnące_skrzydło_1.0.xlsx 1
stema Opublikowano 21 Października 2020 Opublikowano 21 Października 2020 Normalnie skrzydła mi się podnoszą jak AK coś odpowie. Wszyscy mu piszą jak szkodzą mu te ciężary w akrobacji, a On pisze, że mu się w FunCubie skrzydła nie gną. Jasiu, co mamy z gęsi? Smalec. Dobrze, a co jeszcze? Y...yy... No czekaj. Jak śpisz to na czym masz głowę? Na poduszce. Brawo. Co jest w poduszce? Pierze. Super, to co jeszcze mamy z gęsi? Smalec...
AKocjan Opublikowano 21 Października 2020 Autor Opublikowano 21 Października 2020 22 minuty temu, grzegor napisał: Chłopie nie dyskutuj, co działa czy nie bo jesteś śmieszny jako konstruktor zajebiście amator, rozmowa z konstruktorami w fazie dziecko jest śmieszna. Każdy przyzna rację, że FunCub ma problemy z wyginającymi się skrzyłami pod obciążeniem, dlaczego w moim modelu tak się nie dzieje w trakcie lotu z ciężarkami na końcówkach ? @grzegor powinno się to przecież spotęgować ? 3 minuty temu, stema napisał: Normalnie skrzydła mi się podnoszą jak AK coś odpowie. Wszyscy mu piszą jak szkodzą mu te ciężary w akrobacji, a On pisze, że mu się w FunCubie skrzydła nie gną. Jasiu, co mamy z gęsi? Smalec. Dobrze, a co jeszcze? Y...yy... No czekaj. Jak śpisz to na czym masz głowę? Na poduszce. Brawo. Co jest w poduszce? Pierze. Super, to co jeszcze mamy z gęsi? Smalec... @ już pisałem przecież, w osiągach szkodzą, ale dla wytrzymałości nie, redukują obciążenia. 1
stema Opublikowano 21 Października 2020 Opublikowano 21 Października 2020 5 minut temu, AKocjan napisał: Każdy przyzna rację, że FunCub ma problemy z wyginającymi się skrzyłami pod obciążeniem, dlaczego w moim modelu tak się nie dzieje w trakcie lotu z ciężarkami na końcówkach ? @grzegor powinno się to przecież spotęgować ? @ już pisałem przecież, w osiągach szkodzą, ale dla wytrzymałości nie, redukują obciążenia. Smalec.
Rekomendowane odpowiedzi